Groundwater transport modeling units: cm=centimeter, ft=foot, g=gram, gal=U.S. gallon, hr=hour, kg=kilogram, km=kilometer, l=liter, lb=pound, m=meter, mg=milligram, min=minute, mm=millimeter, ppm=part per million (by mass), ppb=part per billion (by mass), s=second, yr=year, ug=microgram
Groundwater Contaminant Transport Terminology

PFAS Origin from Fire Fighting Training Area (see Table at bottom of page for Koc Values for PFAS). AFFF is Aqueous Film Forming Foam. (EPA, 2022, Figure 2)

Topics: Introduction Equations Application Variables Properties Error Messages References
Introduction
Back to Calculation
This groundwater transport calculation simulates one-dimensional (x-direction) transport of a chemical in a confined groundwater aquifer. It is also valid for transport in an unconfined aquifer if the groundwater head gradient (dh/dx) is nearly constant. There are two common boundary conditions for chemical transport: One is a step (i.e. continuous) injection of chemical - the chemical is added at x=0 from time t=0 to t=T. The other common boundary condition is a pulse input where a mass of chemical is added instantaneously at x=0. This groundwater modeling uses the first boundary condition though a pulse input can be simulated by using a short injection time T. The modeling solves for concentration at whatever time and distance is desired by the user.
The groundwater transport calculator includes advection, dispersion, and retardation. Advection is chemical movement via groundwater flow due to the groundwater hydraulic (i.e. head) gradient. Dispersion is the longitudinal (forward and backward) spreading of the contaminant in groundwater. If there were no dispersion, all of the contaminant would travel at the mean chemical velocity. With dispersion, some chemical travels faster and some slower than the mean velocity; the chemical "spreads out." Retardation causes the mean chemical velocity to be slower than the groundwater velocity. If your chemical exhibits no dispersion, set both the dispersivity (a) and diffusion coefficient (D*) to zero. If the chemical is not retarded, then uncheck the retardation check box or use the chemical drop-down menu to select "User enters Koc" and set Koc =0.0.
PFAS (polyfluoroalkyl substances) are modeled by selecting "User enters Koc" from the dropdown menu that has the default selection of "Trichloroethyline (TCE) (sets Koc)". A table is shown below with values for Koc for various PFAS. PFAS chemicals are now nearly everywhere in the world due to their widespread use as a fire retardant and in plastics and cookware. PFAS have been very useful but are now recognized to be carcinogenic. They are detected in groundwater at typically in parts per trillion concentration level.
Equations
Back to Calculation
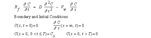
Governing Equation and Boundary Conditions
The governing equation for one-dimensional chemical transport in groundwater with
advection, dispersion, and retardation is (Van Genuchten and Alves, 1982):
Solution
The solution to the groundwater contaminant transport modeling governing equation and boundary conditions shown above is (Van
Genuchten and Alves, 1982):
erfc( ) is called the "complementary error function." Our groundwater calculation uses the most accurate numerical representation of erfc( ) given in Abramowitz and Stegun (1972, eqn 7.1.26).
Applications Back to Calculation
The following graphs were developed to demonstrate effects of dispersion for
trichloroethylene (TCE) in a sandy groundwater aquifer as predicted by the groundwater calculation. The
following data were used:
Co = 10,000 mg/l, d = 1.6 g/cm3, dh/dx = -0.007 m/m, D* =
0, foc = 0.1%,
K = 0.001 cm/s, Koc = 100 cm3/g, n = 35%, ne = 25%.
Click for groundwater variable definitions
Therefore, Kd = 0.1 cm3/g, Rf = 1.46,
Vw = 2.8x10-7 m/s, and Vc = 1.92x10-7
m/s.
Two injection durations were used: T=1,000,000 days in Figure 1 and T=100 days in Figure 2. For Figure 1, T was selected large enough to simulate an infinite duration injection. In both figures, the concentration front occurs at x = Vc t = 16.6 m when a=0. In Figure 2, the trailing edge of the concentration front occurs at x = Vc( t-T) =14.9 m when a=0. a is dispersivity.
Figure 1. TCE concentration profile at 1000 days for an injection of duration 1,000,000 days
Figure 2. TCE concentration profile at 1000 days for an injection of duration 100 days.
Variables Back to Calculation
The variables used in the groundwater modeling are:
a = dispersivity [L]. Varies from 0.1 to 100 m.
Field and laboratory tests have indicated that a varies with the scale of the
test. Large scale groundwater tests have higher a than small lab column tests. An
approximate value for a is 0.1 times the scale of your groundwater system (Fetter, 1993).
If you are simulating groundwater contaminant transport in a 1 m long laboratory column, then a~0.1
m. However, if you are simulating groundwater transport in a large aquifer greater than 1 km in
extent, then use a~100 m.
C = Chemical concentration [M/L3].
Co = Injected concentration at x=0 [M/L3].
d = Dry bulk density of the groundwater aquifer [M/L3].
dh/dx = Groundwater hydraulic (or head) gradient [L/L]. Since
dh/dx is negative, we ask you to enter -dh/dx so that you can enter a
positive number for convenience. You determine dh/dx from two head
measurements using the equation, dh/dx = (h2-h1)/(x2-x1).
D = Dispersion coefficient [L2/T]. The equation
D=a Vc + D*/ne is adapted from Ingebritsen and Sanford
(1998).
D* = Molecular diffusion coefficient [L2/T].
Varies somewhat for different chemicals but a typical value to use is 1.0x10-9
m2/s (Fetter, 1993).
foc = Organic carbon fraction in soil [%].
(Mass organic carbon per mass soil) x 100%.
K = Hydraulic conductivity of aquifer [L/T].
Kd = Distribution coefficient [L3/M].
Represents chemical partitioning between groundwater and soil.
Koc = Organic carbon partition coefficient [L3/M].
Represents chemical partitioning between organic carbon and water in soil.
Good discussion in Lyman et al. (1982).
n = Total porosity of soil [%]. (Void volume/total volume)
x 100%.
ne = Effective porosity [%]. Porosity through
which flow can occur. A thin film of water bound to soil particles by capillary
forces does not move through the groundwater aquifer. ne is always ≤ n.
Pe = Peclet number. Pe=(Vc x ) / D.
It is a commonly used dimensionless parameter indicating the relative impact of inertial
effects to dispersive effects.
Rf = Retardation factor. Rf
=1 if there is no retardation which implies that Vc=Vw.
Rf =1 would occur for a conservative tracer; that is, a tracer that
does not sorb to the aquifer soil.
t = Time [T]. Time at which C is to be computed.
T = Duration of injection [T]. Co is
injected from t=0 to t=T.
Vc = Mean chemical velocity [L/T].
Vw = Pore water velocity [L/T]. Also known as
groundwater velocity.
x = Distance [L]. Distance at which to compute C.
Property Data
Back to Calculation
The following are tables of groundwater hydraulic conductivity, total porosity, effective porosity, bulk density, and organic carbon partition coefficient. Groundwater parameter values have been compiled from a variety of sources such as Coduto (1994), Fetter (1993), Freeze and Cherry (1979), Hillel (1982), and Sanders (1998). The values used in the groundwater contaminant transport modeling are typical numbers within the ranges given below.
Table of Soil Properties
| Soil Type | Hydraulic Conductivity, K (cm/s) | Total Porosity, n (%) | Effective Porosity, ne (%) | Bulk Density, d (g/cm3) |
| Clayey | 10-9 - 10-6 | 40-60 | 0-5 | 1.2-1.8 |
| Silty | 10-7 - 10-3 | 35-50 | 3-20 | 1.1-1.8 |
| Sandy | 10-5 - 10-1 | 20-50 | 10-35 | 1.3-1.9 |
| Gravelly | 10-1 - 102 | 25-40 | 12-30 | 1.6-2.1 |
Table of Organic Carbon Partition Coefficient, Koc
| Chemical | Koc (cm3/g) | Chemical | Koc (cm3/g) |
| Benzene | 20-400 | Pyrene | 2000-200,000 |
| Ethyl Benzene | 90-1500 | Tetrachloroethylene | 100-3000 |
| Dichloroethane | 10-250 | Trichloroethylene | 20-500 |
| Naphthalene | 100-2500 |
PFAS Table of Organic Carbon Partition Coefficient, Koc (Sanborn, 2023, Exhibit A-8)
| PFAS | Koc (cm3/g) | PFAS | Koc (cm3/g) |
| PFOA | 64 | PFNA | 200 |
| PFHxS | 64 | PFOS | 800 |
PFOA is perfluorooctanoic acid. PFNA is perfluorononanoic acid. PFHxS is perfluorohexanesulfonic acid. PFOS is perfluorooctanesulfonic acid. (EPA, 2022, Table 2)
Errors Messages
Back to Calculation
"Certain inputs must be > 0." No groundwater computations. Co , C, d, -dh/dx, K, n, ne, and T must all be > 0 if entered.
"Certain inputs must be ≥ 0." No groundwater computations. a, D*, foc , Koc, t, and x must all be ≥ 0 if entered.
"n, ne , and foc must be ≤ 100%." No groundwater computations. Total porosity, effective porosity, and soil organic carbon cannot exceed 100%.
"ne must be ≤ n." No groundwater computations. Effective porosity cannot exceed total porosity.
"Co cannot be determined" or "Co=∞." Co not computed. Certain input combinations result in computing erfc(∞), and erfc(∞)=0.0. Therefore, Co cannot be evaluated or is evaluated as infinity.
"erfc(x,t)=0. Cannot compute Co", "efrc(x,t-T)=0. Cannot compute Co", "A(x,t)=0. Cannot compute Co", or "A(x,t)-A(x,t-T)=0. Cannot compute Co." Co not computed since division by zero occurs.
References
Back to Calculation
Abramowitz, M. and I. A. Stegun. 1972. Handbook of Mathematical Functions. Dover Publications, Inc.
Coduto, D. P. 1994. Foundation Design Principles and Practices. Prentice Hall, Inc.
Fetter, C. W. 1993. Contaminant Hydrogeology. Macmillan Pub. Co.
Freeze, R. A. and J. A. Cherry. 1979. Groundwater. Prentice Hall, Inc.
Hillel, D. H. 1982. Introduction to Soil Physics. Academic Press, Inc.
Ingebritsen, S. E. and W. E. Sanford. 1998. Groundwater in Geologic Processes. Cambridge University Press.
Lyman, W. J. Adsorption coefficient for soils and sediments. In Handbook of Chemical Property Estimation Methods. Lyman, W. J., W. F. Reehl, and D. H. Rosenblatt, eds. McGraw-Hill Book Co. 1982. pp. 4-1 thru 4-33.
Sanders, L. L. 1998. A Manual of Field Hydrogeology. Prentice Hall, Inc.
Sanborn, Head, and Associates. Development of Leaching-Based Soil Values for Select Per- and Poly-fluoroalkl Substances (PFAS). Prepared for New Hampshire Department of Environmental Services. File No. 5612.00. Sept. 29, 2023. https://www.des.nh.gov/sites/g/files/ehbemt341/files/documents/20230929-pfas-srs-summary-report.pdf
U.S. Environmental Protection Agency. Introduction to PFAS in Groundwater. EPA 600/R-22-066. August 2022. https://cfpub.epa.gov/si/si_public_file_download.cfm?p_download_id=545234&Lab=CESER
Van Genuchten, M. Th. and W. J. Alves. 1982. Analytical Solutions of the One-Dimensional Convective-Dispersive Solute Transport Equation. United States Department of Agriculture, Agricultural Research Service, Technical Bulletin 1661.
© 2003-2026 LMNO Engineering, Research, and Software, Ltd. All rights reserved.
LMNO Engineering, Research, and Software, Ltd.
7860 Angel Ridge Rd. Athens, Ohio 45701 USA Phone: (740) 707‑2614
LMNO@LMNOeng.com
https://www.LMNOeng.com